For the co-factor formula for the determinant what's the pattern of signs to multiply by?
Note 1: ETH::LinAlg
Deck: ETH::LinAlg
Note Type: Horvath Classic
GUID:
added
Note Type: Horvath Classic
GUID:
Br>vM#El56
Previous
Note did not exist
New Note
Front
Back
For the co-factor formula for the determinant what's the pattern of signs to multiply by?
\(\begin{bmatrix} + & - & + & - & + & \dots \\ - & + & - & + & - & \dots \\ + & - & + & - & + & \dots \\ \vdots & \vdots & \vdots & \vdots & \vdots & \vdots & \end{bmatrix}\)
Field-by-field Comparison
| Field | Before | After |
|---|---|---|
| Front | For the <b>co-factor</b> formula for the determinant what's the pattern of signs to multiply by? | |
| Back | \(\begin{bmatrix} + & - & + & - & + & \dots \\ - & + & - & + & - & \dots \\ + & - & + & - & + & \dots \\ \vdots & \vdots & \vdots & \vdots & \vdots & \vdots & \end{bmatrix}\) |
Note 2: ETH::LinAlg
Deck: ETH::LinAlg
Note Type: Horvath Cloze
GUID:
added
Note Type: Horvath Cloze
GUID:
B~w={<:u.n
Previous
Note did not exist
New Note
Front
For \(A \in \mathbb{R}^{n \times n}\) and \(\lambda \in \mathbb{R}\) we have \(\det(\lambda B) = \lambda^n \det(B) \).
Back
For \(A \in \mathbb{R}^{n \times n}\) and \(\lambda \in \mathbb{R}\) we have \(\det(\lambda B) = \lambda^n \det(B) \).
Each row is scaled by \(\lambda\) and by multi-linearity we have to take it out of each one (n times)
Field-by-field Comparison
| Field | Before | After |
|---|---|---|
| Text | For \(A \in \mathbb{R}^{n \times n}\) and \(\lambda \in \mathbb{R}\) we have \(\det(\lambda B) = {{c1:: \lambda^n \det(B) }}\). | |
| Extra | Each row is scaled by \(\lambda\) and by multi-linearity we have to take it out of each one (n times) |
Note 3: ETH::LinAlg
Deck: ETH::LinAlg
Note Type: Horvath Cloze
GUID:
added
Note Type: Horvath Cloze
GUID:
HnqZA9P|@G
Previous
Note did not exist
New Note
Front
Given a triangular (either upper or lower) matrix \(T \in \mathbb{R}^{n \times n}\), we have \[ \det(T) = {{c1:: \prod_{k = 1}^n T_{kk} }}\]
Back
Given a triangular (either upper or lower) matrix \(T \in \mathbb{R}^{n \times n}\), we have \[ \det(T) = {{c1:: \prod_{k = 1}^n T_{kk} }}\]
For a triangular matrix, if we choose an element off the diagonal, we are then forced to choose one in the \(0\)s thus making that factor \(0\). The only valid permutation is thus the \(\text{id}\), which means we just multiply the diagonals.
Field-by-field Comparison
| Field | Before | After |
|---|---|---|
| Text | Given a <b>triangular</b> (either upper or lower) matrix \(T \in \mathbb{R}^{n \times n}\), we have \[ \det(T) = {{c1:: \prod_{k = 1}^n T_{kk} }}\] | |
| Extra | For a triangular matrix, if we choose an element off the diagonal, we are then forced to choose one in the \(0\)s thus making that factor \(0\). The only valid permutation is thus the \(\text{id}\), which means we just multiply the diagonals. |
Note 4: ETH::LinAlg
Deck: ETH::LinAlg
Note Type: Horvath Cloze
GUID:
added
Note Type: Horvath Cloze
GUID:
I5WrW!E]G<
Previous
Note did not exist
New Note
Front
The determinant expressed in terms of co-factors is: \[\det(A) = {{c1:: \sum_{j = 1}^n A_{ij}C_{ij} }}\]
Back
The determinant expressed in terms of co-factors is: \[\det(A) = {{c1:: \sum_{j = 1}^n A_{ij}C_{ij} }}\]
in which we multiply the cofactor of every element by the element itself, as is clear in the example for a 3x3.


Field-by-field Comparison
| Field | Before | After |
|---|---|---|
| Text | The determinant expressed in terms of <b>co-factors</b> is: \[\det(A) = {{c1:: \sum_{j = 1}^n A_{ij}C_{ij} }}\]<br> | |
| Extra | in which we multiply the cofactor of every element by the element itself, as is clear in the example for a 3x3.<br><img src="paste-5b306ce2f1c5340a372c470f868d00a247f2c566.jpg"> |
Note 5: ETH::LinAlg
Deck: ETH::LinAlg
Note Type: Horvath Classic
GUID:
added
Note Type: Horvath Classic
GUID:
JAn~&+e&|!
Previous
Note did not exist
New Note
Front
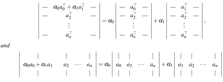
The determinant is linear in each row (or each column). In other words for any \(a_0, a_1, a_2, \dots, a_n \in \mathbb{R}^n\) and \(\alpha_0, \alpha_1 \in \mathbb{R}\) we have: (Two linearity properties)
Back
The determinant is linear in each row (or each column). In other words for any \(a_0, a_1, a_2, \dots, a_n \in \mathbb{R}^n\) and \(\alpha_0, \alpha_1 \in \mathbb{R}\) we have: (Two linearity properties)

Field-by-field Comparison
| Field | Before | After |
|---|---|---|
| Front | The determinant is linear in each row (or each <i>column</i>). In other words for any \(a_0, a_1, a_2, \dots, a_n \in \mathbb{R}^n\) and \(\alpha_0, \alpha_1 \in \mathbb{R}\) we have: (<i>Two linearity properties)</i> | |
| Back | <img src="paste-b0314843c81b23252762fd0a50059644aa1dfffe.jpg"> |
Note 6: ETH::LinAlg
Deck: ETH::LinAlg
Note Type: Horvath Cloze
GUID:
added
Note Type: Horvath Cloze
GUID:
NJVswNKOd~
Previous
Note did not exist
New Note
Front
For a permutation \(\sigma\), if \(\sigma(i) \neq i\) then there exists a \(j\) such that \(\sigma(j) \neq j\).
Back
For a permutation \(\sigma\), if \(\sigma(i) \neq i\) then there exists a \(j\) such that \(\sigma(j) \neq j\).
We're going to have to venture off the diagonal for at least one other element.
If we have a matrix \(A = \begin{bmatrix} 1 & 0 & 0 \\ 0 & 1 & 0 \\ 0 & 0 & 1 \end{bmatrix}\), the only permutation that doesn't produce a \(0\) product is the \(\text{id}\) permutation.
If we have a matrix \(A = \begin{bmatrix} 1 & 0 & 0 \\ 0 & 1 & 0 \\ 0 & 0 & 1 \end{bmatrix}\), the only permutation that doesn't produce a \(0\) product is the \(\text{id}\) permutation.
Field-by-field Comparison
| Field | Before | After |
|---|---|---|
| Text | For a permutation \(\sigma\), if \(\sigma(i) \neq i\) then {{c1:: there exists a \(j\) such that \(\sigma(j) \neq j\)}}. | |
| Extra | We're going to have to venture off the diagonal for at least one other element.<br><br>If we have a matrix \(A = \begin{bmatrix} 1 & 0 & 0 \\ 0 & 1 & 0 \\ 0 & 0 & 1 \end{bmatrix}\), the only permutation that doesn't produce a \(0\) product is the \(\text{id}\) permutation. |
Note 7: ETH::LinAlg
Deck: ETH::LinAlg
Note Type: Horvath Cloze
GUID:
added
Note Type: Horvath Cloze
GUID:
O?@!`_xk3T
Previous
Note did not exist
New Note
Front
In a triangular matrix, if one of the diagonals is zero, the determinant is \(0\).
Back
In a triangular matrix, if one of the diagonals is zero, the determinant is \(0\).
Field-by-field Comparison
| Field | Before | After |
|---|---|---|
| Text | In a <b>triangular matrix</b>, if {{c2::one of the diagonals is zero}}, the determinant is {{c1::\(0\)}}. |
Note 8: ETH::LinAlg
Deck: ETH::LinAlg
Note Type: Horvath Cloze
GUID:
added
Note Type: Horvath Cloze
GUID:
Oow<}IKdC,
Previous
Note did not exist
New Note
Front
Given a matrix \(A \in \mathbb{R}^{n \times n}\), then \[ \det(A) = \det(A^\top) \]
Back
Given a matrix \(A \in \mathbb{R}^{n \times n}\), then \[ \det(A) = \det(A^\top) \]
This follows from the fact that the inverse of a permutation has the same sign, and transposing is the same as doing the inverse permutation.
Field-by-field Comparison
| Field | Before | After |
|---|---|---|
| Text | Given a matrix \(A \in \mathbb{R}^{n \times n}\), then \[ {{c1::\det(A)}} = \det(A^\top) \] | |
| Extra | This follows from the fact that the inverse of a permutation has the same sign, and transposing is the same as doing the inverse permutation. |
Note 9: ETH::LinAlg
Deck: ETH::LinAlg
Note Type: Horvath Cloze
GUID:
added
Note Type: Horvath Cloze
GUID:
P0)~~JgL|z
Previous
Note did not exist
New Note
Front
Given matrices \(A, B \in \mathbb{R}^{n \times n}\), we have \[ \det(AB) = \det(A) \cdot \det(B) \]
Back
Given matrices \(A, B \in \mathbb{R}^{n \times n}\), we have \[ \det(AB) = \det(A) \cdot \det(B) \]
If we multiply first by \(A\) then \(B\) the unit cube will be stretched the same way as if we did both at once.
Field-by-field Comparison
| Field | Before | After |
|---|---|---|
| Text | Given matrices \(A, B \in \mathbb{R}^{n \times n}\), we have \[ \det(AB) = {{c1:: \det(A) \cdot \det(B) }}\] | |
| Extra | If we multiply first by \(A\) then \(B\) the unit cube will be stretched the same way as if we did both at once. |
Note 10: ETH::LinAlg
Deck: ETH::LinAlg
Note Type: Horvath Cloze
GUID:
added
Note Type: Horvath Cloze
GUID:
i{D+8us!vH
Previous
Note did not exist
New Note
Front
Given a matrix \(A\) such that \(\det(A) \neq 0\) then \(A\) is invertible and \[ \det(A^{-1}) = {{c1:: \frac{1}{\det(A)} }}\]
Back
Given a matrix \(A\) such that \(\det(A) \neq 0\) then \(A\) is invertible and \[ \det(A^{-1}) = {{c1:: \frac{1}{\det(A)} }}\]
If \(A\) shrinks the unit cube and \(A^{-1}\) inflates it back to the unit dimensions then the ratio of the changes is \(1\).
Field-by-field Comparison
| Field | Before | After |
|---|---|---|
| Text | Given a matrix \(A\) such that \(\det(A) \neq 0\) then \(A\) is <b>invertible</b> and \[ \det(A^{-1}) = {{c1:: \frac{1}{\det(A)} }}\] | |
| Extra | If \(A\) shrinks the unit cube and \(A^{-1}\) inflates it back to the unit dimensions then the ratio of the changes is \(1\). |
Note 11: ETH::LinAlg
Deck: ETH::LinAlg
Note Type: Horvath Cloze
GUID:
added
Note Type: Horvath Cloze
GUID:
oKlE5w/*RH
Previous
Note did not exist
New Note
Front
If \(Q \in \mathbb{R}^{n \times n}\) is an orthogonal matrix then \(\det(Q) = \) \(1\) or \(-1\).
Back
If \(Q \in \mathbb{R}^{n \times n}\) is an orthogonal matrix then \(\det(Q) = \) \(1\) or \(-1\).
As \(Q\) is orthogonal, we don't scale (preserves \(\top\)) thus the unit cube is just turned, not scaled.
Field-by-field Comparison
| Field | Before | After |
|---|---|---|
| Text | If \(Q \in \mathbb{R}^{n \times n}\) is an <i>orthogonal</i> matrix then \(\det(Q) = \) {{c1:: \(1\) or \(-1\)}}. | |
| Extra | As \(Q\) is orthogonal, we don't scale (preserves \(\top\)) thus the unit cube is just turned, not scaled. |
Note 12: ETH::LinAlg
Deck: ETH::LinAlg
Note Type: Horvath Cloze
GUID:
added
Note Type: Horvath Cloze
GUID:
pdv(<_+/|h
Previous
Note did not exist
New Note
Front
Given a permutation matrix \(P \in \mathbb{R}^{n \times n}\) corresponding to a permutation \(\sigma\), then \(\det(P) = {{c1::\text{sgn}(\sigma)}}\)
Back
Given a permutation matrix \(P \in \mathbb{R}^{n \times n}\) corresponding to a permutation \(\sigma\), then \(\det(P) = {{c1::\text{sgn}(\sigma)}}\)
(this is as \(P\) is also an orthogonal matrix, see 3.). We sometimes write \(\text{sgn}(P)\).
For the permutation matrix, each row contains only one entry: a \(1\). Thus the only permutation \(\sigma\) in the product that doesn't have a \(0\) factor is the permutation corresponding to the matrix \(P\) itself. The product is \(1 \cdot 1 \dots \cdot 1\) thus we get \(\text{sgn}(\sigma) = \text{sgn}(P)\).
For the permutation matrix, each row contains only one entry: a \(1\). Thus the only permutation \(\sigma\) in the product that doesn't have a \(0\) factor is the permutation corresponding to the matrix \(P\) itself. The product is \(1 \cdot 1 \dots \cdot 1\) thus we get \(\text{sgn}(\sigma) = \text{sgn}(P)\).
Field-by-field Comparison
| Field | Before | After |
|---|---|---|
| Text | Given a permutation matrix \(P \in \mathbb{R}^{n \times n}\) corresponding to a permutation \(\sigma\), then \(\det(P) = {{c1::\text{sgn}(\sigma)}}\) | |
| Extra | (this is as \(P\) is also an orthogonal matrix, see 3.). We sometimes write \(\text{sgn}(P)\).<br><br>For the permutation matrix, each row contains only one entry: a \(1\). Thus the only permutation \(\sigma\) in the product that doesn't have a \(0\) factor is the permutation corresponding to the matrix \(P\) itself. The product is \(1 \cdot 1 \dots \cdot 1\) thus we get \(\text{sgn}(\sigma) = \text{sgn}(P)\). |
Note 13: ETH::LinAlg
Deck: ETH::LinAlg
Note Type: Horvath Cloze
GUID:
added
Note Type: Horvath Cloze
GUID:
sH/[5Mikuh
Previous
Note did not exist
New Note
Front
If \(A\) is a matrix and \(P\) is a permutation that swaps two elements (i.e. \(\text{sgn}(P) = -1\)): \[\det(PA) = - \det(A) \]
Back
If \(A\) is a matrix and \(P\) is a permutation that swaps two elements (i.e. \(\text{sgn}(P) = -1\)): \[\det(PA) = - \det(A) \]
\(PA\) corresponds to swapping two rows of \(A\)
Field-by-field Comparison
| Field | Before | After |
|---|---|---|
| Text | If \(A\) is a matrix and \(P\) is a permutation that <i>swaps two elements</i> (i.e. \(\text{sgn}(P) = -1\)): \[\det(PA) = {{c1:: - \det(A) }}\]<br> | |
| Extra | \(PA\) corresponds to swapping two rows of \(A\) |
Note 14: ETH::LinAlg
Deck: ETH::LinAlg
Note Type: Horvath Cloze
GUID:
added
Note Type: Horvath Cloze
GUID:
u:|nk(8Sda
Previous
Note did not exist
New Note
Front
The Co-Factors of \(A\) are \( C_{ij} = {{c1:: (-1)^{i + j} \det(\mathcal{A}_{ij}) }}\) where \(\mathcal{A}_{ij}\) is the \((n - 1)\times (n-1)\) matrix without row \(i\) and column \(j\).
Back
The Co-Factors of \(A\) are \( C_{ij} = {{c1:: (-1)^{i + j} \det(\mathcal{A}_{ij}) }}\) where \(\mathcal{A}_{ij}\) is the \((n - 1)\times (n-1)\) matrix without row \(i\) and column \(j\).

Field-by-field Comparison
| Field | Before | After |
|---|---|---|
| Text | The <b>Co-Factors</b> of \(A\) are \( C_{ij} = {{c1:: (-1)^{i + j} \det(\mathcal{A}_{ij}) }}\) where \(\mathcal{A}_{ij}\) is the \((n - 1)\times (n-1)\) matrix without row \(i\) and column \(j\). | |
| Extra | <img src="paste-5380635095a8a7665119ccf8d988a2ee74964ad3.jpg"> |
Note 15: ETH::LinAlg
Deck: ETH::LinAlg
Note Type: Horvath Cloze
GUID:
added
Note Type: Horvath Cloze
GUID:
zz.w6i^0.V
Previous
Note did not exist
New Note
Front
A matrix \(A \in \mathbb{R}^{n \times n}\) is invertible if and only if \[ \det(A) \neq 0 \]
Back
A matrix \(A \in \mathbb{R}^{n \times n}\) is invertible if and only if \[ \det(A) \neq 0 \]
If the unit cube collapses to have 0 volume (i.e. \(\det(A) = 0\)) then we lost a dimension and \(A\) cannot be invertible.
Field-by-field Comparison
| Field | Before | After |
|---|---|---|
| Text | A matrix \(A \in \mathbb{R}^{n \times n}\) is <i>invertible</i> if and only if \[ \det(A) {{c1:: \neq 0 }}\] | |
| Extra | If the unit cube collapses to have 0 volume (i.e. \(\det(A) = 0\)) then we lost a dimension and \(A\) cannot be invertible. |